Vos conseillers départementaux vous informent
1.4 – Aides à divers organismes et associations intervenant dans le domaine de la solidarité et de l’action sociale et médico-sociale.

1.7 – Subvention aux lieux d’accueil parents/enfants


1.36 – Subvention 2020 de fonctionnement pour l’association des restos du Coeur et la Banque Alimentaire (associations départementales)

2.38 – Dépenses d’équipement en mobilier et en matériel dans les collèges publics.

2.44 – Aide aux saisons culturelles 2020/2021

2.48 – « Collégiens en Culture(s) » – année scolaire 2020-2021

2.50 – Aide aux Monuments Historiques (classés et inscrit)
Eglise Saint Jean d’Ambert : restauration des couvertures du déambulatoire ; 97 667 € de subvention (24%)
2.55 – Aide à l’équipement des associations culturelles.

2.56 – DALD




3.63 – Fonds départemental de péréquation de la taxe professionnelle (FDPTP) – répartition 2020.













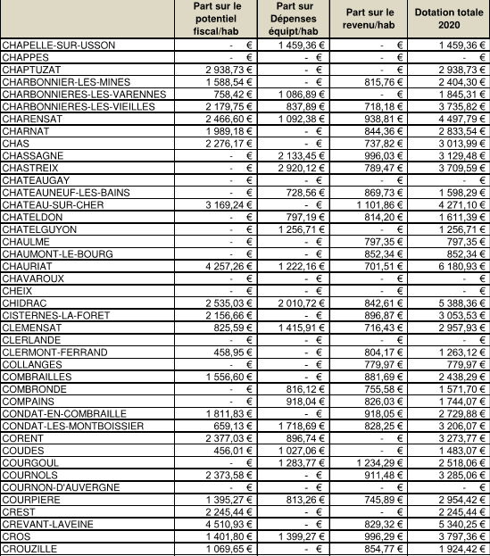
3.69 – Répartition et utilisation des recettes provenant du produit des amendes de police relatives à la sécurité routière – Programmes 2020 – Dotation…
Voir l’article original 190 mots de plus
